बॉल मिल क्षमता की गणना कैसे करें
May 06, 2024
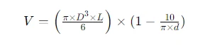
बॉल मिल की क्षमता की गणना करने में कई कारक शामिल होते हैं, जिसमें मिल का आयतन, पीसने वाले माध्यम का घनत्व, पीसने वाली सामग्री का प्रकार और घनत्व, और मिल की घूर्णन गति शामिल है। बॉल मिल की क्षमता की गणना करने के लिए यहाँ एक बुनियादी सूत्र दिया गया है:

कहाँ:
- ( V )=मिल का आयतन (घन मीटर में)
- (डी)=मिल का व्यास (मीटर में)
- ( L )=मिल की लंबाई (मीटर में)
- (घ)=पीसने वाले माध्यम का व्यास (मीटर में)
यह सूत्र मानता है कि मिल अपने कुल आयतन का लगभग 30-40% पीसने वाले माध्यम से भरा हुआ है।
पीसने वाले मीडिया के बीच रिक्त स्थान को समायोजित करता है।
इस सूत्र का उपयोग करने के लिए, आपको अपनी बॉल मिल के आयाम और उस पीसने वाले माध्यम का व्यास जानना होगा जिसका आप उपयोग करने की योजना बना रहे हैं। इसके अतिरिक्त, पीसने वाली सामग्री, उत्पाद की वांछित सुंदरता और मिलिंग प्रक्रिया की दक्षता जैसे कारकों पर विचार करना महत्वपूर्ण है।
ध्यान रखें कि यह सूत्र आदर्श परिस्थितियों में बॉल मिल की क्षमता का अनुमान प्रदान करता है। पीसने वाले माध्यम की दक्षता, पीसने वाली सामग्री के गुण और मिल की परिचालन स्थितियों जैसे कारकों के आधार पर वास्तविक क्षमता भिन्न हो सकती है। आपके विशिष्ट बॉल मिल सेटअप की वास्तविक क्षमता निर्धारित करने के लिए प्रयोग और परीक्षण आवश्यक हो सकता है।







